Signal and Systems

Lecture Notes

Pages

  • Home
  • Assignment1 hints
  • Tables

Sunday, May 13, 2018

Laplace - Convolution integral










Posted by poles at 6:06 PM No comments:
Email ThisBlogThis!Share to XShare to FacebookShare to Pinterest

Laplace - Ordinary differential equations





Posted by poles at 6:05 PM No comments:
Email ThisBlogThis!Share to XShare to FacebookShare to Pinterest

Laplace - Transforms of derivatives



Posted by poles at 6:04 PM No comments:
Email ThisBlogThis!Share to XShare to FacebookShare to Pinterest

Laplace - Inversion using the first shift theorem





Posted by poles at 6:02 PM No comments:
Email ThisBlogThis!Share to XShare to FacebookShare to Pinterest

Laplace - The inverse transform




Posted by poles at 6:00 PM No comments:
Email ThisBlogThis!Share to XShare to FacebookShare to Pinterest

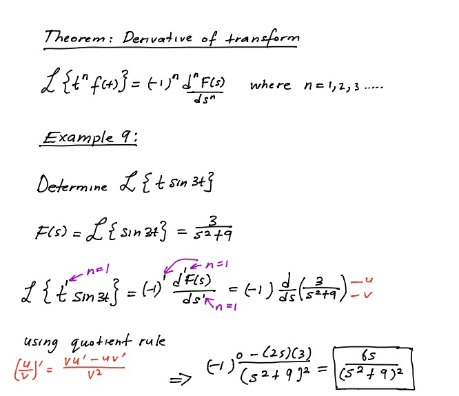
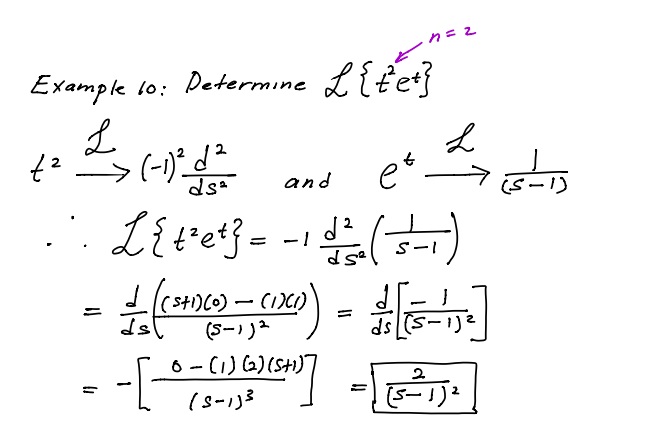
Laplace - Derivative of transform


Posted by poles at 5:58 PM No comments:
Email ThisBlogThis!Share to XShare to FacebookShare to Pinterest

Laplace - First shift theorem

Posted by poles at 5:57 PM No comments:
Email ThisBlogThis!Share to XShare to FacebookShare to Pinterest
Older Posts Home
Subscribe to: Comments (Atom)

Blog Archive

  • ▼  2018 (17)
    • ▼  May (9)
      • Laplace - Convolution integral
      • Laplace - Ordinary differential equations
      • Laplace - Transforms of derivatives
      • Laplace - Inversion using the first shift theorem
      • Laplace - The inverse transform
      • Laplace - Derivative of transform
      • Laplace - First shift theorem
      • Laplace - Determine
      • Laplace Transform - Definition
    • ►  April (8)

Followers

My Blog List

  • INSTRUMENTATION AND CONTROL SYSTEMS
    Designing transfer function using opamp
  • Electronic Circuits - AIMST University
    Circuits review - Power, energy, RMS voltage
  • Electrical Circuits - AIMST University
    Finding the Equivalent Resistance on Series and Parallel circuits

Signals and Systems

Live Website Traffic
Theme images by sololos. Powered by Blogger.